Welcome: Tangshan Longquan Chemical Auxiliary Co.,Ltd.
Language: Chinese ∷  English

Light Stabilizer

  • Light Stabilizer LQ-292
Light Stabilizer LQ-292

Light Stabilizer LQ-292

  • Product description: Light Stabilizer LQ-292
  • INQUIRY


Product name: Light Stabilizer LQ-292


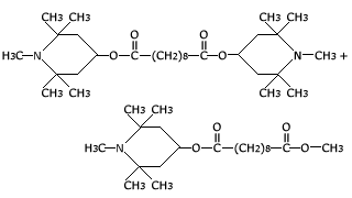
Chemical name:The active substance is a mixture of

Bis (1,2,2,6,6-tetramethyl-4-Piperidinyl)-sebacate

and 1-methyl-8-(1,2,2,6,6-tetramethyl-4-Piperidinyl)-sebacate


CAS NO: 41556-26-7+ 82919-37-7

Molecular formula: C30H56N2O4 C21H39NO4

Chemical Formula:


Product description:

Slighty yellow liquid,soluble in methanol,alcohol,benzene,methyl benzene,

hexane,etc.insoluble in water.Specific density at 20℃ 0.99g/cm3


Usage:

Hindered amine light stabilizer,mainly used in paints and printing ink,especially developed for coating.It’s effciency provides significantly estended life time.It has cooperacive effects with UV absorbers of bebzotriazo.


Specification:

Appearance: white or pale yellow liquid

Purity (%):                     96.0 min

Light transmittance (%): 425 nm  97 min

(10g/100ml toluene)   500 nm   98 min

Ash(%):                       0.1max

Clarity:                         clear


Package:

25kg net,plastic drum.


Storage and Transportation:

Keep away from moisture, overheat and light. It can be transported as common chemicals.

CONTACT US

Contact: Yongsheng Ji

Phone:

Tel: 0315-5656600

Email: chinalq@chinalq.com

Add: North of Development Road,Nanpu Development Zone,Tangshan City,Hebei Province,China